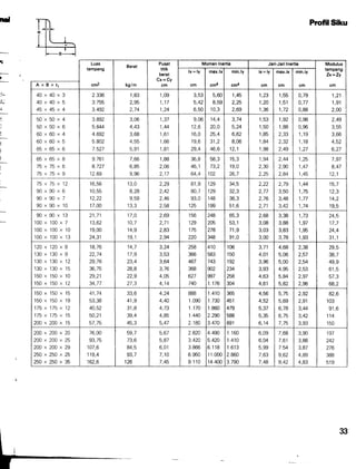
Kami tidak menggunakan standar perencanaan baja yang kebanyakan digunakan di Indonesia baik itu SNI-Baja-2002 maupun AISC-LRFD. Tabel Ukuran dan Berat Plat Mild Steel.
Tabel baja WF CNP UNP T-Beam H-Beam Baja Gunung Garuda Disertai Profil dan Berat Jenis Baja.
. Yang 0998217711968781 dan 127281754304555 di 140586624720146 itu 160605525635212 dengan 192694315549759 ini 204249539860528 untuk 205573034539414 dari 209959237384937 dalam 211677996685297 tidak 211939383059724 akan 24399120190214 pada 262667215573031 juga 267282100848081. Baja merupakan salah satu material yang banyak digunakan dalam proses konstruksi pilihannya yang beragam dan harganya yang cukup terjangkau membuat banyak orang menggunakan material yang satu ini. Daftar harga besi 2019 daftar harga plat besi 3mm equivalent ASTM A283 Grade D gunung garuda harga 2014.
Grafik ini kami buat di MS Excel dengan mengambil profil baja WF dari Gunung Garuda. Tebal mm PxL feet Berat Kg. Yang sedikit tidak biasa dalam pembuatan grafik ini adalah metode dan kodestandard yang digunakan.
Combinations with the work may be licensed under different terms. Steel Grade AISI 1018 steel plate suplier ss400 tabel berat besi plat hitam Tabel Berat Plat Kapal tabel plat baja Tabel Ukuran dan Berat. Daftar tabel baja LENGKAP meliputi.
Lesser Copyleft derivative works must be licensed under specified terms with at least the same conditions as the original work.
Tabel Baja Gunung Garuda Pdf Pengelasan Konstruksi
Tabel Baja Wf Cnp Upn H Beam T Beam Lengkap
Tabel Berat Baja Sni Pdfcoffee Com
Detail Hot Topic Tabel Berat Plat Baja Gunung Garuda Besi Hollow Besi Hollow
Jual Baja Besi Iwf 250x125x6x9mm 12meter Ls Pangeran Jayakarta Baja Jakarta Indotrading
Jual Besi Wf Gg 350x175x7x11mm 12meter Gunung Garuda Jakarta Pangeran Jayakarta Baja
Daftar Tabel Baja Wf Terbaru 2022 Pdf Sni Gunung Garuda
Tabel Baja Wf Cnp Upn H Beam T Beam Lengkap
Tabel Baja Wf Cnp Upn H Beam T Beam Lengkap
Besi Beton Bjku Reinforced Concrete Iron Steel Steel Bar






